久久久久激情I久草网免费I天天天综合网Iav东方在线I国产精品二区在线观看Iwww久久99I91精品色I夜又临在线观看

固定電話:

0517-86881563

手機熱線:

153-1230-7860

當前位置:首頁 >> 新聞動態
電磁流量計極間信號干擾的建模與分析
電磁流量計是一種測量導電液體體積流量的感應式儀表,以法拉第電磁感應定律為zui基本的理論依據。民有很多突出的優點,如:無可動部件,不會產生壓力損失和堵塞管道;測量原理為線性、精度高、測量范圍大;耐腐蝕性好并且可測量正反流速等。現在電磁流量計的發展已經比較成熟。大口徑(≥1m)電磁流量計流量的標定和小口徑(3~80m)電磁流量計的測量精度是該行業主要的研究方向。在實際測量中,干擾信號與有用的信號混在一起,它們不僅成分復雜,而且有時干擾信號還會比流量信號大。在這種情況下怎樣抑制和排除這些干擾,提高信噪比就成了研制和使用電磁流量計的一個技術關鍵。
由于勵磁磁場的突變會產生一些非常復雜的干擾,其中同相干擾與正交干擾為電磁流量計的主要干擾。去除正交干擾可以采用如下兩種方法:一種是人為地造成一個與正交干擾幅值相同的信號,用此信號與于擾信號相互抵消;另一種是讓引出線組成的閉合回路在磁場交鏈的磁通所形成的電流之代數和為零。**種方法會引人新的干擾,去除干擾效果不理想,第二種方法在小口徑電磁流量計(DN3mm~DN80mm)范圍內難于實現。筆者提出了一種有效消除干擾的方法:對流量計電極間信號建立數學模型,并對模型處理,可以將干擾信號與流量信號分離,為消除干擾提供了方便。下面主要討論這種方法。
 
1、流量計極間信號的理論分析與建模
本文主要研究在正弦波勵磁方式下電磁流量計各種干擾的解決方法。在實際應用中,流量計電極間信號都摻雜有大量的干擾信號:微分干擾、同相干擾、共模干擾和串模干擾等。以上信號都是由相對獨立的信號源產生。將這些信號物理疊加起來列出公式如下:
式中,E為流量計電極間信號;Es為水流切割磁感線產生的電動勢;E’為各項干擾電動勢,包括微分干擾ew同相干擾et,、共模干擾ec、串模干擾ed和其他干擾eq;B為磁場強度;D為流管直徑;v為水流速度。
共模干擾ec和串模干擾ed是電磁流量計附近的電磁干擾和靜電干擾產生的,可以通過靜電屏蔽和良好的接地加以抑止,其他干擾eq包括直流極化電壓和些微小干擾。直流極化電壓可通過提高勵磁頻率加以克服,所以做好這些干擾的抗干擾措施后,可以把式(1)簡化為:
在正弦波勵磁電磁流量計中,兩電極的引線處于交變磁場中。流量計管內沒有水流速度,電磁流量計的勵磁線圈通入正弦波電流時,在引線的閉合回路內就產生出感應電動勢,即微分干擾和同相干擾電勢。
微分干擾電動勢可以用磁場對時間的一次微分表示,同相干擾電動勢可以用磁場對時間的二次微分來描述。微分干擾和同相干擾與磁場強度B的關系式如下:
在正弦波勵磁方式下,假定勵磁電流為I=Imsinωt,其中ω=2πf,流量計的勵磁磁場強度B和勵磁電流相位相同,所以得到公式為B= Bmsinωt。將此公式帶入式(3)和式(4)可得
將式(5)和式(6)代入式(1),用已知量表示流量計電極間信號E得到式(7)如下
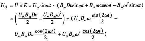
式(7)中,( BmDvsinωt)項為水流切割管內磁感線產生的電動勢;磁場強度Bm、管內直徑D和ω都是已知量;v為要求的水流速度;[2πf Bmcosωt-(2πf)²•Bm sinωt]項為干擾電動勢。由于信號構成存在差異,所以去除干擾信號的方法有很多種。例如:干擾信號與流量信號存在90°的相位差,可以用相敏檢波的方法去除干擾信號;干擾信號與流量信號頻率不同時可以用帶通濾波、帶阻濾波、高通濾波和低通濾波的方法。從式(7)中可以看出:流量計的干擾信號與流量信號都是交流信號,頻率相同但相位差不同。上面提到的方法不能完全去除此流量計的干擾,所以筆者采用如下方法,將流量計電極間信號E與勵磁電壓信號U相乘處理,得到電壓U0如下式:
信號經過處理之后得到的信號U0是由兩部分構成,直流分量[(UmBmDv)/2]-[(UmBmωt)/2]和交流分量UmBmωsin (2ωt)/2-UmBmDv*cos(2ωt)/2+UmBmω²*cos(2ωt)微分干擾電壓形成后被轉化成頻率為2ω交流成分)。由上式可知直流分量與水流速度成線性關系,其中的-(UmBmω²)/2將決定系統的零點。交流分量的頻率為勵磁頻率2倍。對電壓信號U0進行濾波,濾除交流信號得到的直流信號輸入到A/D進行采樣,再輸入給MCU經過編程處理,zui后由液晶顯示出流量計的流量值。下面是用實際電路對本方法進行驗證。
 
2、實際電路對理論驗證
將上述的理論分析應用到實際電路中,主要用到的器件是乘法器,電路中選擇的乘法器是TI公司的MPY100A,此芯片的優點:①差模輸入抑制有害的共模信號(溫度、電源電壓等的變化引起的零點漂移和其
他干擾信號都可以視作共模信號);②輸人補償電壓值Z2可以用來對系統調零。硬件電路圖如圖1所示。
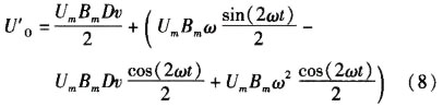
MPY100A的輸出公式為U’0=[X1-X2)(Y1-Y2)]/10+Z2,如圖1所示,X2和Y2相連并接地這樣使得E和U有相同的參考信號減小了外部干擾的引人,X1和Y1相乘減小了10倍,零點補償電壓(-UmBmω²)x(-1/10)=UmBmω²輸人給Z2,這樣zui后的U’0為
由式(8)可以看出信號經過信號處理之后得到U'0,交流部分[UmBmω*sin(2ωt)/2]-[UmBmDv*cos(2ωt)]+[UmBm ω ² cos(2ωt)/2]可經過低通濾波器濾除,直流部分UmBm Dv/2經過放大后直接輸人MCU進行處理轉換成流量信號顯示出來。
下面是電磁流量計口徑為5mm,水流速度約為2~18m/s,這里實際流量是通過容量法測量的。經過采樣取32組數據做出曲線圖如圖2所示。
測量流量值α是用傳統正弦波勵磁電磁流量計測量得到的數據曲線,測量流量值b是用本文中信號處理方法設計的電磁流量計測量得到的數據曲線。根據數據分析可以知,用傳統的正弦波勵磁電磁流量計測
得的流量值的零點漂移很大,誤差范圍為±0.2%,而用本文信號處理方法設計的電磁流量計測得的數據曲線與實際流量信號的曲線相似度很高,此方法的測量誤差范圍為±0.15%。
 
3、結束語
對正弦波勵磁基礎上電磁流量計極間電動勢信號做了理論分析,提出了把極間信號與勵磁信號進行相乘變換的方式來提取流速信息、完成信號處理,有效地指導了新型電磁流量計硬件系統的研制。成功地研制出了基于乘法原理的新型電磁流量計信號處理系統,將理論在電路上得以實現,對正弦波勵磁下的信號處理方式做了創新。不僅對理論上的分析做了實踐的證明,說明了筆者分析的正確性,而且對進一步改進流量計性能提供了參考和依據。
根據在建模與分析中遇到的困難以及當前電磁流量計的現狀,對今后的研究工作提出以下建議和改進
①筆者是采用硬件乘法器來實現兩路信號的相乘,這必將受到乘法器精度、速度等性能的影響,而且硬件乘法器的價格很高,增加了設計成本。所以可以考慮兩路信號都采用數字同步采樣再經過軟件相乘的方式來實現,這樣既降低了成本,對性能也將有所改善。
②在正弦波勵磁方式下,也可采用其他的信號處理方法。如對傳感器產生的感應電動勢信號進行數字信號處理,結合HHT和FFT等算法,從干擾信號頻率入手,更加有針對性地消除干擾成分,提高了信號的信噪比。
 

上一條:電磁流量計輸出波動原因分析和處理
下一條:一種大口徑電磁流量計在線校準的方法


客戶服務熱線
15312307860

聯系我們